Fig. 2
From: Major ceRNA regulation and key metabolic signature analysis of intervertebral disc degeneration

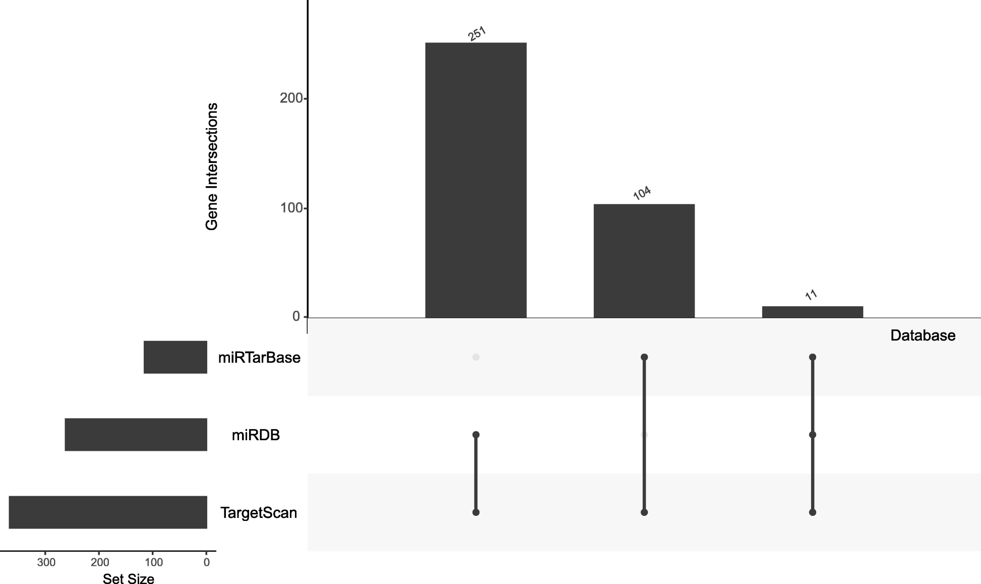
The method for genes scan of miRNAs. Targets of DEmiRNAs were predicted by three experimentally independent databases, including miRDB (http://mirdb.org/), miRTarBase (http://mirtarbase.mbc.nctu.edu.tw/php/index.php) and TargetScan (http://www.targetscan.org/vert_72/). The target gene is the one at least overlapping by two of three binding prediction databases. Intersection means that the number of overlapping genes in different databases (2 or 3)